• Предмет: Алгебра
  • Автор: denis1891
  • Вопрос задан 10 лет назад

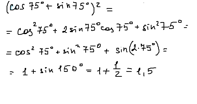
решениеуравнения(cos 75 градусов+sin 75 граддусов)

Ответы

Ответ дал: esmilya
0
Если понравилось решение - нажимай "спасибо" и "лучший" (рядом с кнопкой "спасибо") :)
Приложения:
Ответ дал: denis1891
0
сможешь решить?
Ответ дал: esmilya
0
давай
Ответ дал: denis1891
0
ты тут?
Ответ дал: denis1891
0
cos в квадрате пи/12-sin в квадрате пи/12 надо вычислить
Ответ дал: esmilya
0
cos в квадрате пи/12-sin в квадрате пи/12 = cos 2*п/12 = cos п/6= (корень из 3) / 2
Вас заинтересует