• Предмет: Алгебра
  • Автор: Аноним
  • Вопрос задан 2 года назад

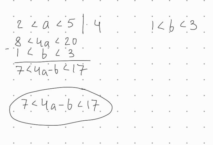
Відомо, що 2 < а < 5 і 1 < 6 < 3. Оцініть значення виразу
4a - b.

Ответы

Ответ дал: dulzura
0

Ответ:

на фото .......................

Приложения:
Вас заинтересует