помогите пожалуйста решить
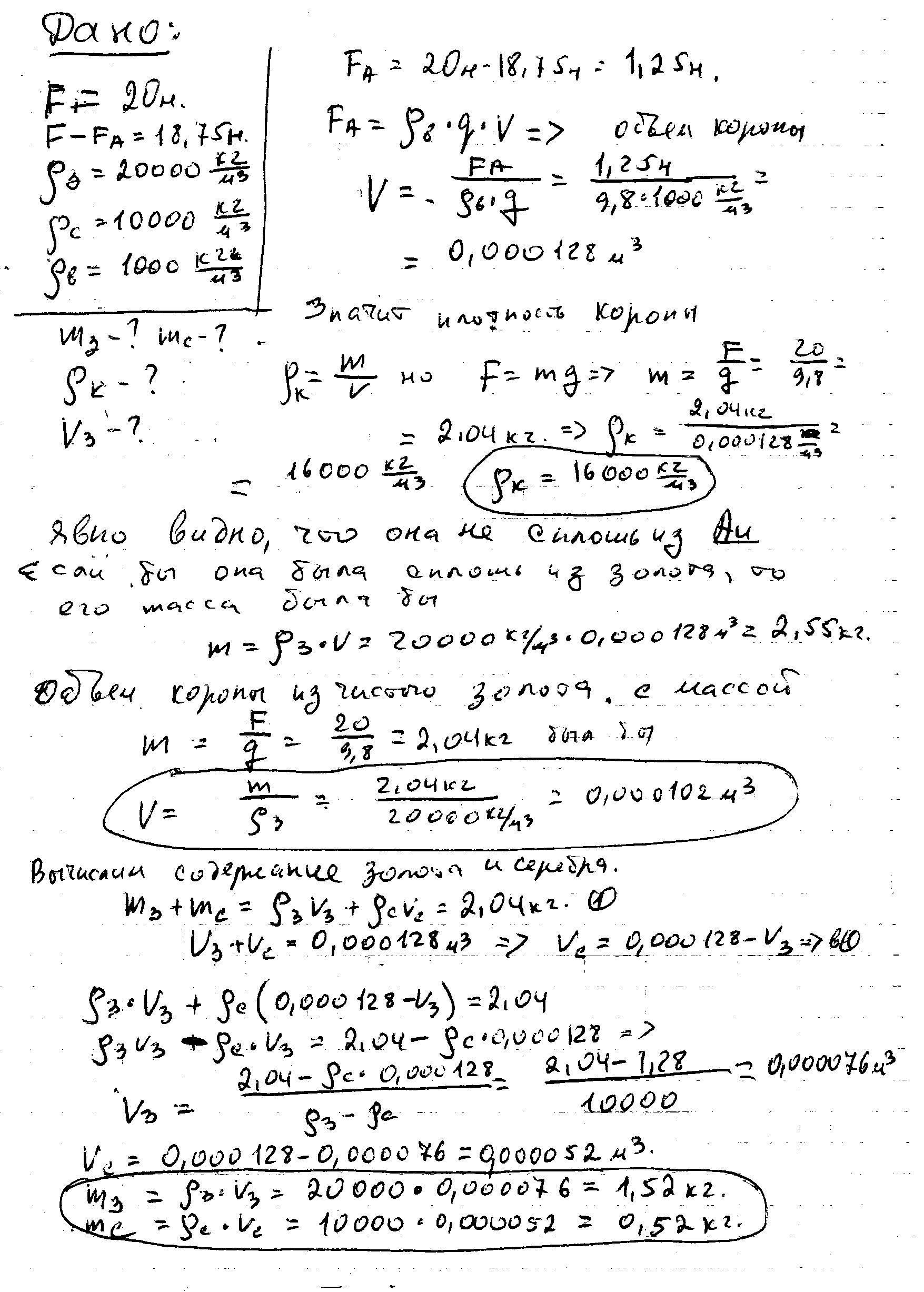
Предположив что золотая корона царя Гиерона в воздухе весит 20 Н , а в воде 18.75 Н, вычислите плотность вещества короны.
Пологая, что к золоту было подмешанно только серебро, определите , сколько в короне было золота и сколько серебра
При решении задачи плотность золота считайте равной 20000 кг на метр кубический, плотность серебра 10000 кг на метр кубический . каков был бы объём короны из чистого золота ? ( задачу нужно решать с Дано и всё как полагается )
Ребят помогите пожалуйста , я сама не могу и не понимаю . Зарание большое спасибо
Ответы
Ответ дал:
0
Достал этот Гиерон со своей короной. Подумаешь немного украли, так у него же золота много. Посмотрите в решении что к чему.
Предположив что золотая корона царя Гиерона в воздухе весит 20 Н , а в воде 18.75 Н, вычислите плотность вещества короны.
Пологая, что к золоту было подмешанно только серебро, определите , сколько в короне было золота и сколько серебра
При решении задачи плотность золота считайте равной 20000 кг на метр кубический, плотность серебра 10000 кг на метр кубический . каков был бы объём короны из чистого золота ?
Предположив что золотая корона царя Гиерона в воздухе весит 20 Н , а в воде 18.75 Н, вычислите плотность вещества короны.
Пологая, что к золоту было подмешанно только серебро, определите , сколько в короне было золота и сколько серебра
При решении задачи плотность золота считайте равной 20000 кг на метр кубический, плотность серебра 10000 кг на метр кубический . каков был бы объём короны из чистого золота ?
Приложения:
Вас заинтересует
3 года назад
8 лет назад
11 лет назад
11 лет назад