• Предмет: Алгебра
  • Автор: mashka363636
  • Вопрос задан 1 год назад

ДАЮ СТО БАЛІВ
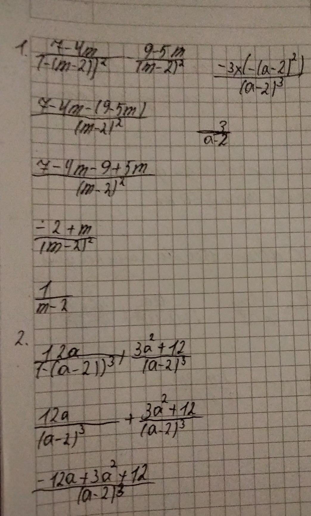
Подайте вираз у вигляді дробу​

Приложения:

Ответы

Ответ дал: denyskuzmiv
1

Ответ:

Я надіюся я поміг тобі з задачею

Приложения:
Вас заинтересует