• Предмет: Алгебра
  • Автор: maranap1777
  • Вопрос задан 2 года назад

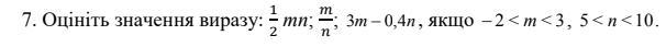
Оцініть значення виразу

Приложения:

Аноним: Какой классный?
Аноним: Класс*
maranap1777: .9
Аноним: скину розв‘язок в інст @mathematic_89
TyomaBross: Не треба

Ответы

Ответ дал: TyomaBross
1

Для оцінки значень виразів при заданих обмеженнях для та n, ми можемо підставити мінімальні і максимальні значення з діапазонів -2 < т < 3 та 5 < n < 10.

1. Мінімальне значення виразу 2mn відбувається, коли т та n набувають свої мінімальні значення:

2 * (-2) * 5 = -20

2. Максимальне значення виразу 2mn відбувається, коли та n набувають свої максимальні значення:

2 * 3 * 10 = 60

Тепер для виразу 3m - 0.4n:

3. Мінімальне значення виразу 3m - 0.4n відбувається, коли т та n набувають свої мінімальні значення:

3 * (-2) - 0.4 * 5 = -6 - 2 = -8

4. Максимальне значення виразу 3m - 0.4n відбувається, коли та n набувають свої максимальні значення:

3 * 3 - 0.4 * 10 = 9 - 4 = 5

Отже, при заданих обмеженнях значення виразу 2mn може лежати в інтервалі від -20 до 60, а значення виразу 3m - 0.4n може лежати в інтервалі від -8 до 5.

Вас заинтересует