• Предмет: Алгебра
  • Автор: Kazahskuechpachmak
  • Вопрос задан 1 год назад

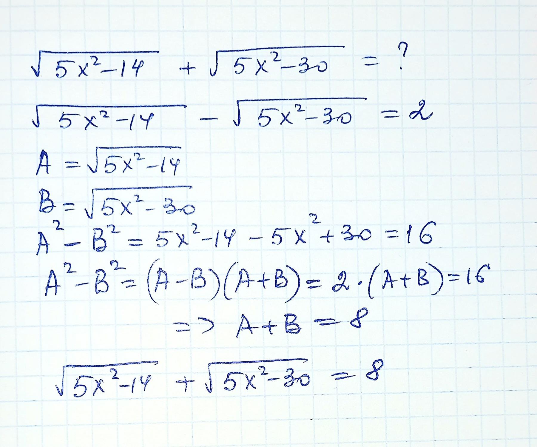
Не находя х, найдите значение выражения корень из(5x^2-14)+корень из(5x^2-30) , если известно значения выражения корень из(5x^2-14)-корень из(5x^2-30)= 2

Приложения:

Ответы

Ответ дал: ВладимирБ
2

Ответ:

8

Объяснение:

решение на фото

Приложения:
Вас заинтересует