• Предмет: Физика
  • Автор: sofiabelocerkovskaa0
  • Вопрос задан 2 года назад

Автомобіль за 5 секунд зменшив швидкість від 72км/год до 18км/год. Яку відстань проїхав автомобіль за цей час?​

Ответы

Ответ дал: oleurin5
1

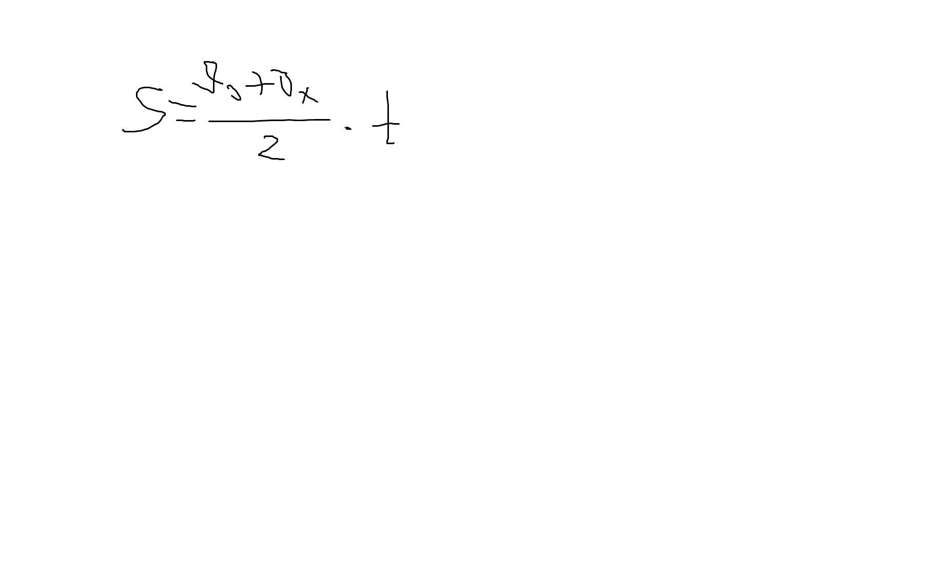
Ответ:

62,5 м

Объяснение:

початкова швидкість=72 км на год

переводимо в систему СІ= 72*1000 і поділити на 3600 с

отримаємо 20 м на с

кінцева швидкість= 18 км год

За таким же ж принципом в СІ = 5 м на с

формула ( фото )

підставляємо

отримуємо 62,5 м

Відповідь 62,5 м

Приложения:
Вас заинтересует