• Предмет: Алгебра
  • Автор: Аноним
  • Вопрос задан 1 год назад

допоможіть будь ласка, буду вдячна :)

Приложения:

Ответы

Ответ дал: NNNLLL54
1

Ответ:

Решить иррациональное уравнение . Запишем систему , равносильную заданному уравнению .

\bf \sqrt{3x^2-9x-26}=12+3x-x^2\ \ \ \Longleftrightarrow \ \ \ \left\{\begin{array}{l}\bf 12+3x-x^2\geq 0\ ,\\\bf 3x^2-9x-26=(12+3x-x^2)^2\end{array}\right    

Решим неравенство и уравнение отдельно .    

\bf a)\ \ 12+3x-x^2\geq 0\ \ \Rightarrow \ \ \ x^2-3x-12\leq 0\ \ ,\ \ x_{1,2}=\dfrac{3\pm \sqrt{57}}{2}\ \ \Rightarrow \\\\x_1\approx -2,3\ ,\ \ x_2\approx 5,3\ \ ,\ \ \ x\in \Big[\ \dfrac{3-\sqrt{57}}{2}\ ;\ \dfrac{3+\sqrt{57}}{2}\ \Big]\ ,\ \ x\in [-2,3\ ;\ 5,3\ ]

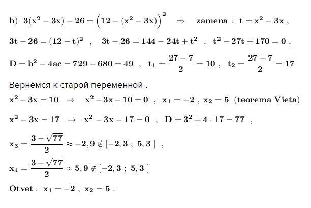
\bf b)\ \ 3(x^2-3x)-26=\Big(12-(x^2-3x)\Big)^2\ \ \ \Rightarrow \ \ \ zamena\, :\ t=x^2-3x\ ,\\\\3t-26=(12-t)^2\ \ ,\ \ \ 3t-26=144-24t+t^2\ \ ,\ \ t^2-27t+170=0\ ,\\\\D=b^2-4ac=729-680=49\ \ ,\ \ t_1=\dfrac{27-7}{2}=10\ ,\ \ t_2=\dfrac{27+7}{2}=17  

Вернёмся к старой переменной .

\bf x^2-3x=10\ \ \to \ \ \ x^2-3x-10=0\ \ ,\ \ x_1=-2\ ,\ x_2=5\ \ (teorema\ Vieta)\\\\x^2-3x=17\ \ \to \ \ x^2-3x-17=0\ \ ,\ \ D=3^2+4\cdot 17=77\ \ ,\\\\x_3=\dfrac{3-\sqrt{77}}{2}\approx -2,9\notin [-2,3\ ;\ 5,3\ ]\ \ ,\\\\x_4=\dfrac{3+\sqrt{77}}{2}\approx 5,9\notin [-2,3\ ;\ 5,3\ ]\\\\Otvet:\ x_1=-2\ ,\ x_2=5\ .

Приложения:

fctdgsygfdhngfxzgsac: NNNLLL54, здравствуйте! спасибо большое что с границами помогли, у меня в профиле 3 задания по ним есть, только что добавил, можете помочь пожалуйста?
Вас заинтересует
3 года назад