• Предмет: Алгебра
  • Автор: fisherman77
  • Вопрос задан 2 года назад

Помогите, срочно. Помогите пожалуйста, прошу вас. Добрые люди, помогите пожалуйста ​

Приложения:

Ответы

Ответ дал: NNNLLL54
3

Ответ:

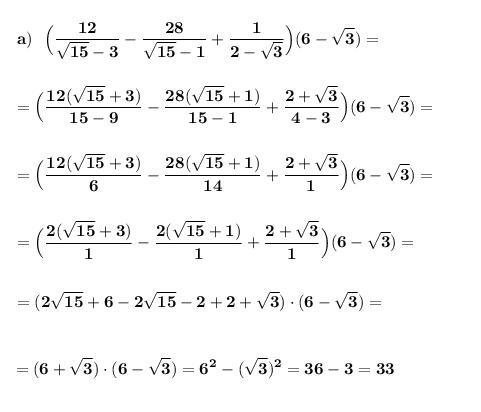
Доказать , что значение выражения является целым числом .

Сначала освобождаемся от корней в знаменателях дробей .

\displaystyle \bf a)\ \ \Big(\frac{12}{\sqrt{15}-3}-\frac{28}{\sqrt{15}-1}+\frac{1}{2-\sqrt3}\Big)(6-\sqrt3)=\\\\\\=\Big(\frac{12(\sqrt{15}+3)}{15-9}-\frac{28(\sqrt{15}+1)}{15-1}+\frac{2+\sqrt3}{4-3}\Big)(6-\sqrt3)=\\\\\\=\Big(\frac{12(\sqrt{15}+3)}{6}-\frac{28(\sqrt{15}+1)}{14}+\frac{2+\sqrt3}{1}\Big)(6-\sqrt3)=\\\\\\=\Big(\frac{2(\sqrt{15}+3)}{1}-\frac{2(\sqrt{15}+1)}{1}+\frac{2+\sqrt3}{1}\Big)(6-\sqrt3)=\\\\\\=(2\sqrt{15}+6-2\sqrt{15}-2+2+\sqrt3)\cdot (6-\sqrt3)=    

\bf \displaystyle =(6+\sqrt3)\cdot (6-\sqrt3)=6^2-(\sqrt3)^2=36-3=33  

Получили целое число .

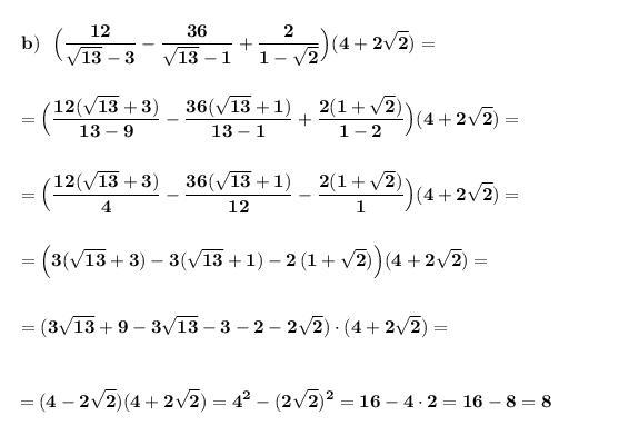
\displaystyle \bf b)\ \ \Big(\frac{12}{\sqrt{13}-3}-\frac{36}{\sqrt{13}-1}+\frac{2}{1-\sqrt2}\Big)(4+2\sqrt2)=\\\\\\=\Big(\frac{12(\sqrt{13}+3)}{13-9}-\frac{36(\sqrt{13}+1)}{13-1}+\frac{2(1+\sqrt2)}{1-2}\Big)(4+2\sqrt2)=\\\\\\=\Big(\frac{12(\sqrt{13}+3)}{4}-\frac{36(\sqrt{13}+1)}{12}-\frac{2(1+\sqrt2)}{1}\Big)(4+2\sqrt2)=\\\\\\=\Big(3(\sqrt{13}+3)}-3(\sqrt{13}+1)-2\, (1+\sqrt2)\Big)(4+2\sqrt2)=\\\\\\=(3\sqrt{13}+9-3\sqrt{13}-3-2-2\sqrt2)\cdot (4+2\sqrt2)=

\bf \displaystyle =(4-2\sqrt2)(4+2\sqrt2)=4^2-(2\sqrt2)^2=16-4\cdot 2=16-8=8        

Получили целое число .                      

Приложения:

fctdgsygfdhngfxzgsac: NNNLLL54, здравствуйте! можете помочь пожалуйста? у меня в профиле есть 3 задания с границами, там по 1 примеру, помогите пожалуйста
Вас заинтересует