Ответы
Ответ дал:
1
Ответ:
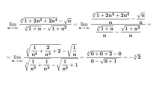
Делим числитель и знаменатель дроби на старшую степень n .
Приложения:

fctdgsygfdhngfxzgsac:
спасибо большое)
Вас заинтересует
1 год назад
1 год назад
2 года назад
8 лет назад