• Предмет: Физика
  • Автор: fakefake00080
  • Вопрос задан 1 год назад

Допоможіть будь ласка 30Б

Приложения:

Ответы

Ответ дал: idleptimp
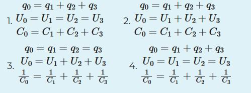
1

Відповідь:

Пояснення:

Будь ласка уточнюйте що треба зробити, але якщо потрібно знайти варінти де всі формули правильні то це цифри 3 та 1, де 3 це послідовне з'єднання, а 1 паралельне

3)як бачимо перша формула де q0=q1=q2=.... вказує нам на те що провідники з'єднані послідовно (при послідовному з'єднанні заряд на всіх ділянках кола однаковий)

Далі U0=U1+U2+... також вказує нам на послідовне з'єднання (загальна напруга на ділянці кола з послідовно з'єднаними провідниками дорівнює сумі всіх напруг)

Також  формула ємності конденсатора при послідовному з'єднанні така ж як на картинці

1) аналогічно бачимо що це паралельне з'єднання скориставшись формулами


fakefake00080: Пробач промахнувся коли робив скрін питання: які сполучені послідовно тому відповідь 3 так?
idleptimp: так, якщо послідовно то 3
Вас заинтересует