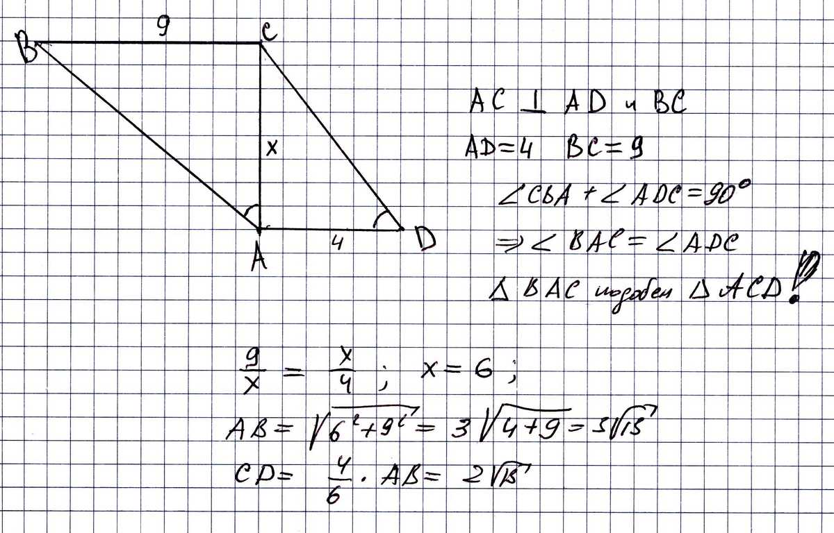
В трапеции АВCD меньшая диагональ АС перпендикулярна основаниям АD и BC. Сумма острых углов В и D=90 градусов. Найдите боковые стороны трапеции, если основание АD=4, ВС=9.
Ответы
Ответ дал:
0
Поскольку угол СВА + угол ADC = 90 градусов, то угол ВАС = угол ADC, то есть прямоугольные треугольники АВС и ADC подобны.
Если обозначить АС = х, то
9/х = х/4, х = 6;
СD = корень(4^2 + 6^2) = 2*корень(13);
АВ = CD*3/2 = 3*корень(13);
Приложения:

Вас заинтересует
2 года назад
2 года назад
8 лет назад
8 лет назад
10 лет назад
10 лет назад