• Предмет: Алгебра
  • Автор: Queen779
  • Вопрос задан 2 года назад

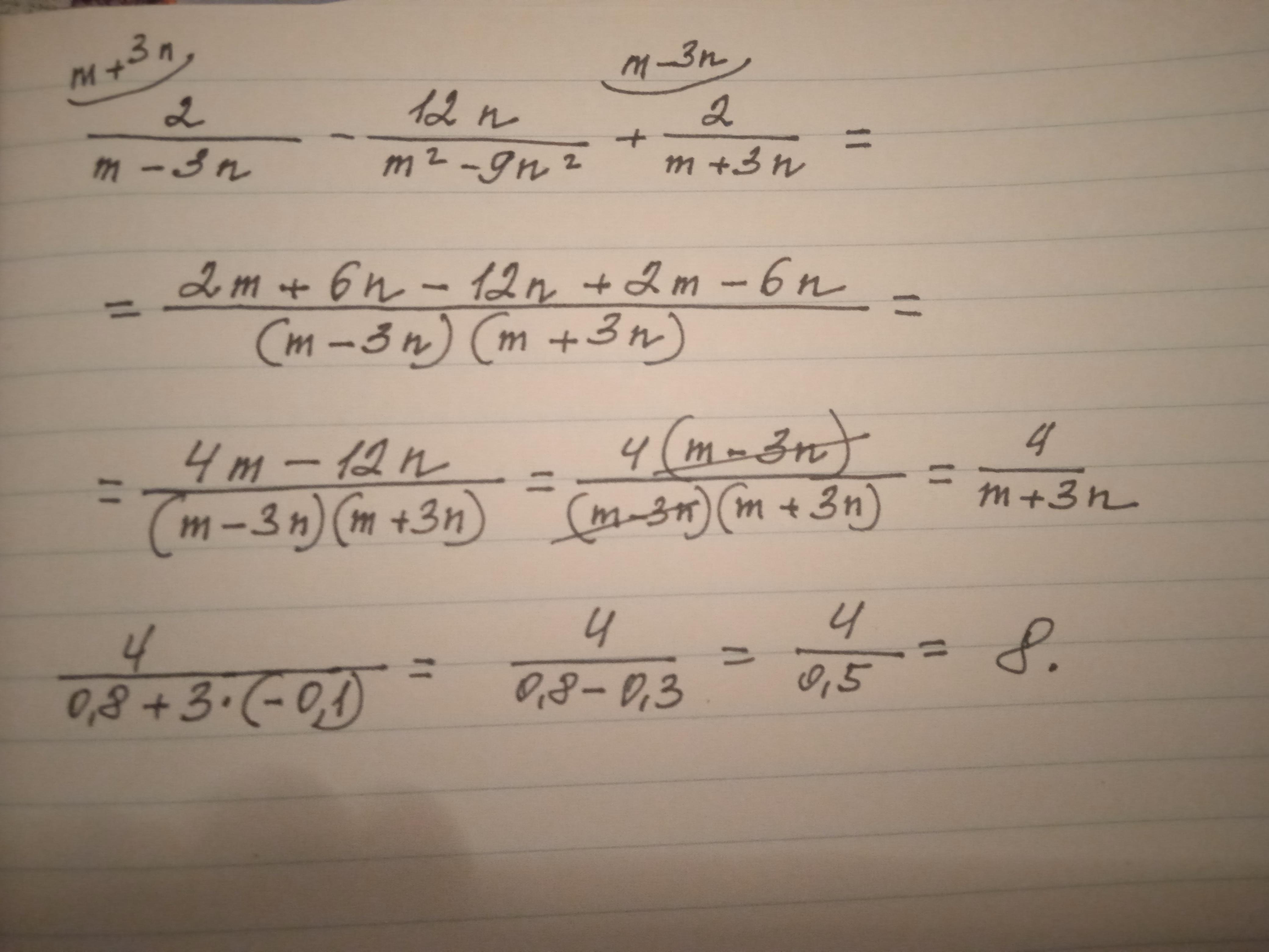
Спростіть вираз і
знайдіть його
значення.Допоможіть будь ласка

Приложения:

Ответы

Ответ дал: Пеппер
1

Ответ:

8

Объяснение:

на фото

Приложения:
Вас заинтересует