• Предмет: Алгебра
  • Автор: artelll
  • Вопрос задан 1 год назад

Дам 20 балов алгебра

Приложения:

Ответы

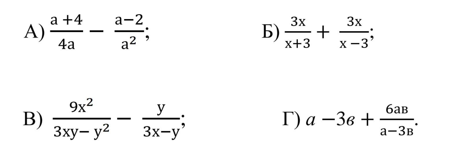
Ответ дал: dashaartyuhova2010
0

Ответ:

не мое, у кого-то нашла

Объяснение:

ыздыдыдыдылылдыдыдыдыдыды

Приложения:
Вас заинтересует