• Предмет: Математика
  • Автор: celikovavika1
  • Вопрос задан 2 года назад

ище одно задание срочно тоже 5 класс дам 20 баллов​

Приложения:

Ответы

Ответ дал: Pro3000g
0

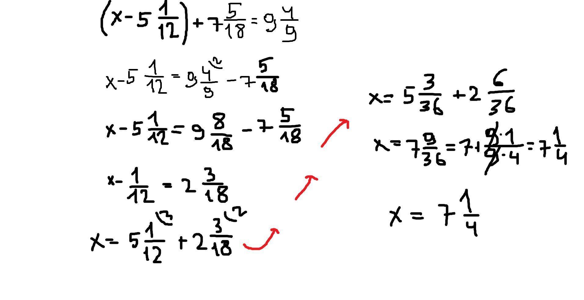
Відповідь:



Покрокове пояснення:

Приложения:
Вас заинтересует