• Предмет: Алгебра
  • Автор: yainterurok
  • Вопрос задан 2 года назад

Помогите пожалуйста даю 50 баллов!!!
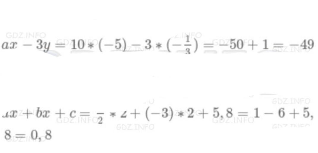
Вычисли значение выражения ax - 2y, при a =1, x= -6, y= -1/2
ax - 2y=

Приложения:

Ответы

Ответ дал: madinakudaiberdieva2
0

ну думаю будет так хороших вам уроков

Приложения:
Вас заинтересует