• Предмет: Математика
  • Автор: Volodya20111
  • Вопрос задан 2 года назад

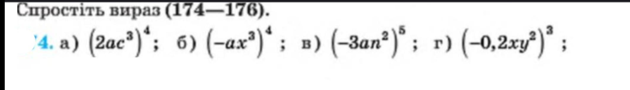
СРОЧНО 25 БАЛОВ! ВСЕ В ФАЙЛЕ ​

Приложения:

Ответы

Ответ дал: gigabyte25
0

Ответ:

a)16а⁴с¹² б) а⁴х¹² в)-243а⁵н¹⁰ г)-0,008х³у⁶

Вас заинтересует