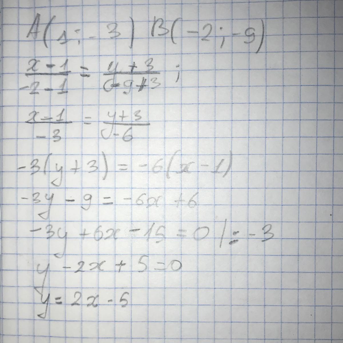
Складіть рівняння прямої, яка проходить через точку A(1;-3) і B(-2;-9). срочнооо
Simba2017:
одна прямая проходит через две различные точки
Ответы
Ответ дал:
0
Рівняння прямої: y=2x-5
Приложения:

Вас заинтересует
1 год назад
1 год назад
2 года назад
2 года назад