• Предмет: Алгебра
  • Автор: snitkovskaana
  • Вопрос задан 2 года назад

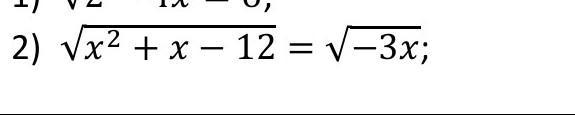
Розв'яжіть ірраціональне рівняння.Будь ласка.2) √x² + x 12 = √−3x;​

Приложения:

Ответы

Ответ дал: hdshtorbaq
0

Відповідь:Давайте розв'яжемо ірраціональне рівняння:

√(x² + x) - 12 = √(-3x)

Спростимо рівняння, взявши квадрат обох сторін:

(x² + x) - 12² = (-3x)

(x² + x) - 144 = -3x

Тепер приберемо -3x з правого боку, додавши його до обох сторін:

x² + x + 3x - 144 = 0

x² + 4x - 144 = 0

Тепер ми отримали квадратне рівняння. Щоб його розв'язати, використаємо квадратну формулу:

x = (-b ± √(b² - 4ac)) / 2a

У цьому випадку:

a = 1, b = 4, c = -144

x = (-4 ± √(4² - 4 * 1 * (-144))) / (2 * 1)

x = (-4 ± √(16 + 576)) / 2

x = (-4 ± √592) / 2

x = (-4 ± 4√37) / 2

Тепер розіб'ємо це на два розв'язки, де ± вказує на дві можливі відповіді:

x = (-4 + 4√37) / 2

x = (-4 - 4√37) / 2

Тепер ми маємо два розв'язки:

x = 2√37 - 2

x = -2√37 - 2

Пояснення:

Вас заинтересует