• Предмет: Алгебра
  • Автор: nwwqkx
  • Вопрос задан 2 года назад

МЕГА, ГЛАВНЫЕ МОЗГИ НАДЕЖДА ТОЛЬКО НА ВАС!!!

Приложения:

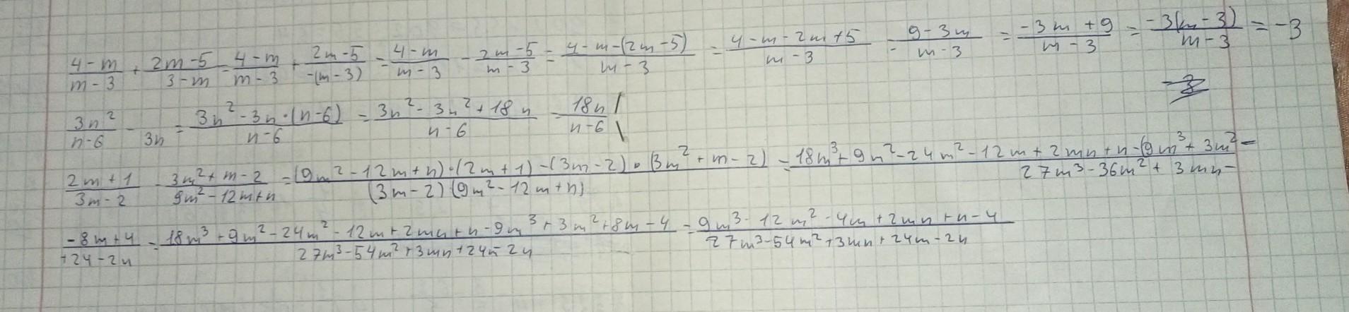
nwwqkx: 8-решить
nwwqkx: 9-подати у вигляді дробу
nwwqkx: 10 спросить
nwwqkx: 10-спростити***

Ответы

Ответ дал: Kristinawwn
0

Ответ:

надеюсь понятно, спрашивайте если что

Приложения:

nwwqkx: 10 спростить, 9-подать в виде дроби,
Вас заинтересует