• Предмет: Алгебра
  • Автор: kirillisogor058
  • Вопрос задан 2 года назад

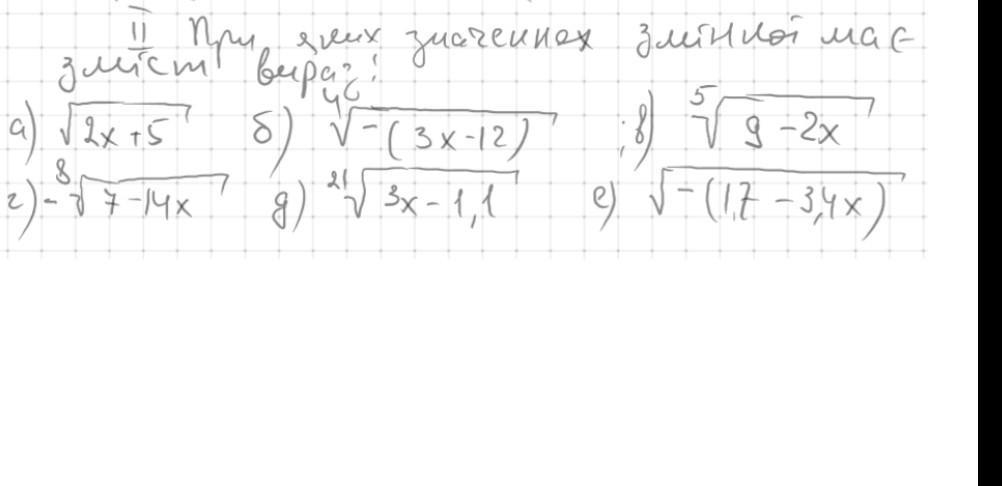
при яких значеннях змінної має зміст вираз​

Приложения:

Ответы

Ответ дал: NNNLLL54
1

Ответ:

Подкоренное выражение корня чётной степени должно быть неотрицательно .

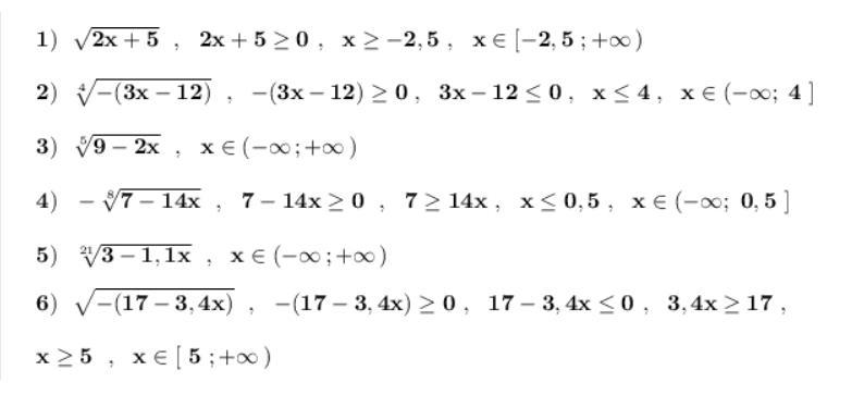
\bf 1)\ \ \sqrt{2x+5}\ \ ,\ \ 2x+5\geq 0\ ,\ \ x\geq -2,5\ ,\ \ x\in [-2,5\ ;+\infty \, )\\\\2)\ \ \sqrt[4]{\bf -(3x-12)}\ \ ,\ \ -(3x-12)\geq 0\ ,\ \ 3x-12\leq 0\ ,\ \ x\leq 4\ ,\ \ x\in (-\infty ;\ 4\ ]\\\\3)\ \ \sqrt[5]{\bf 9-2x}\ \ ,\ \ x\in (-\infty \, ;+\infty \, )\\\\4)\ \ -\sqrt[8]{\bf 7-14x}\ \ ,\ \ 7-14x\geq 0\ \ ,\ \ 7\geq 14x\ ,\ \ x\leq 0,5\ ,\ \ x\in (-\infty ;\ 0,5\ ]\\\\5)\ \ \sqrt[21]{\bf 3-1,1x}\ \ ,\ \ x\in (-\infty \, ;+\infty \, )

\bf 6)\ \ \sqrt{-(17-3,4x)}\ \ ,\ \ -(17-3,4x)\geq 0\ ,\ \ 17-3,4x\leq 0\ ,\ \ 3,4x\geq 17\ ,\\\\x\geq 5\ \ ,\ \ x\in [\ 5\ ;+\infty \, )

Приложения:
Вас заинтересует