• Предмет: Математика
  • Автор: lastbaizxz
  • Вопрос задан 2 года назад

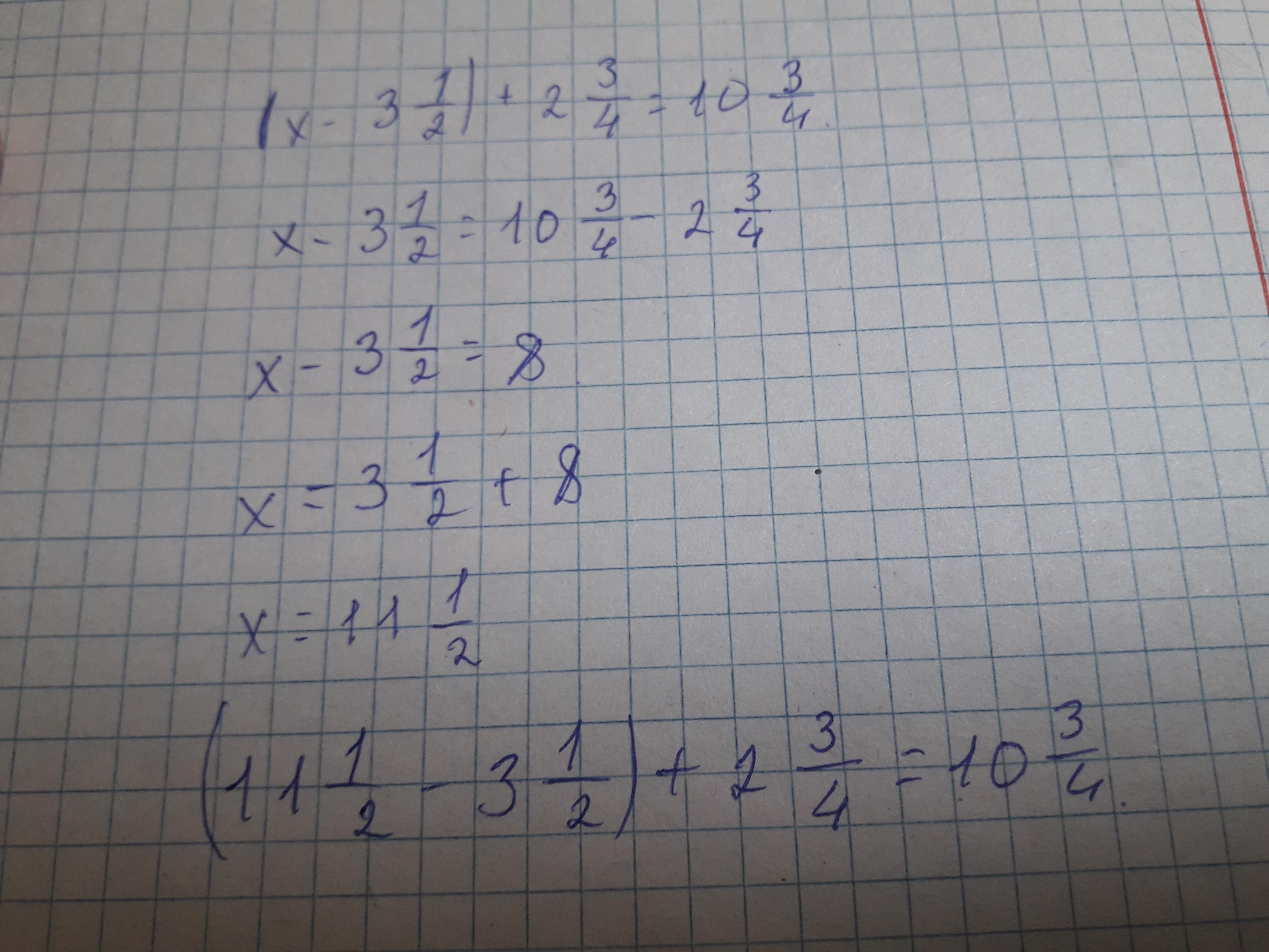
(x-3 1/2) + 2 3/4 = 10 3/4
срочно пожалуйста ​

Ответы

Ответ дал: GennadyVideo1254
2

Ответ: x = 23/2

Пошаговое объяснение:

(x - 3 1/2) + 2 3/4 = 10 3/4

(x-7/2)+11/4=43/4

x-7/2+11/4=43/4

x-3/4=43/4

x=43/4+3/4

x = 23/2

Ответ дал: MissDen
2

Ответ:

Пошаговое объяснение:

Приложения:
Вас заинтересует