• Предмет: Математика
  • Автор: alexzorik91
  • Вопрос задан 1 год назад

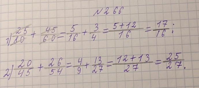
Дуже срочно будь ласка!!!! через 3хв треба здати!!!рішити+росписати по діях!!; даю40 балів!!!!

Приложения:

alexzorik91: Рішити. + Росписати
alexzorik91: Дуже срочно!!!!!

Ответы

Ответ дал: EgorSasenow
1

Ответ:

Ответ на фотографии! Надеюсь верно! УДАЧИ!!!!!!

Приложения:
Вас заинтересует