• Предмет: Алгебра
  • Автор: melencukdasha
  • Вопрос задан 1 год назад

Допоможіть будь ласка ​

Приложения:

Ответы

Ответ дал: uauarmrmrmmrmr
1

Ответ:

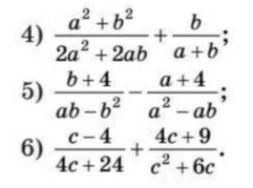
4) 4) \frac{a^2+b^2}{2a^2+2ab} +\frac{b}{a+b}= \frac{a^2+b^2}{2a(a+b)} +\frac{b}{a+b} =\frac{a^2+b^2+2ab}{2a(a+b)}=\frac{(a+b)^2}{2a(a+b)}=\frac{a+b}{2a}\\ 5) \frac{b+4}{b(a-b)} -\frac{a+4}{a(a-b)}=\frac{a(b+4) - b(a+4)}{ab(a-b}=\frac{ab+4a-ba-4b}{ab(a-b)}=\frac{4a-4b}{ab(a-b)}=\frac{4(a-b)}{ab(a-b)}=\frac{4}{ab}\\ 6)  \frac{c-4}{4(c+6)} + \frac{4c+9}{c(c+6)} = \frac{c(c-4)+4(4c+9)}{4c(c+6)} = \frac{c^2-4c+16c+36}{4c(c+6)}=\frac{c^2+12c+36}{4c(c+6)}=\frac{(c+6)^2}{4c(c+6)}=\frac{c+6}{4c}

Объяснение:


melencukdasha: дякую!!
Вас заинтересует