• Предмет: Математика
  • Автор: Аноним
  • Вопрос задан 1 год назад

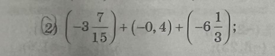
ПОМОГИТЕ ПОЖАЛУСТА РЕШИТЕ ЭТОТ ПРИМЕР

Приложения:

Аноним: Давайте быстрее

Ответы

Ответ дал: matvii120
1

-9 12/18

все'''''''''


Аноним: СПАСИБО
Ответ дал: rahimovaaliya2010
1

Ответ:

получится -51/5

Пошаговое объяснение:

сначало скобки убираем, будет

-3 7/15 - 0,4 - 6 1/3

представить смешанную дровь в виде неправильной дроби

- 52/15 - 2/5 - 19/3

вычисляем разность

= - 51/5

Вас заинтересует