Ответы
Ответ дал:
1
Ответ:
Объяснение:
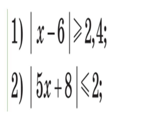
Приложения:

7x8:
Я добавил фотографию. Вы их видите?
Вас заинтересует
1 год назад
2 года назад
2 года назад
8 лет назад