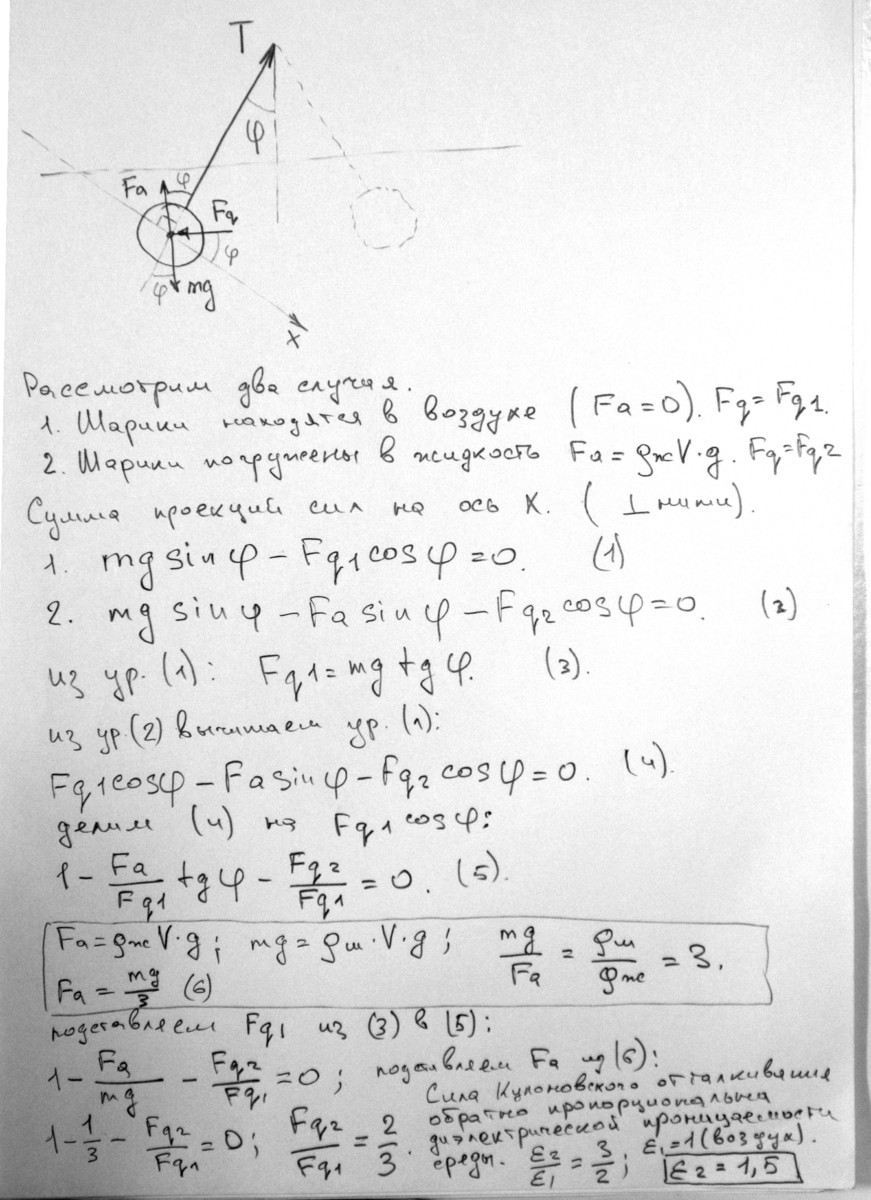
Помогите пожалуйста, не понимаю физикуДва одинаковых металлических шарика подвешены на нитях равной длины, закрепленных в одной точке. Когда шарикам были сообще-ны одинаковые по величине и знаку заряды, то нити разошлись на некото-рый угол. Какова должна быть диэлектрическая проницаемость жидкого диэлектрика, чтобы при погружении в него этой системы угол расхожде-ния нитей не изменился? Отношение плотности материала шариков к плотности жидкого диэлектрика равно 3.
Ответы
Ответ дал:
0
Решение в прикрепленном файле.
Приложения:

Вас заинтересует
2 года назад
2 года назад
8 лет назад
8 лет назад
10 лет назад
10 лет назад