• Предмет: Алгебра
  • Автор: feruzarasulova885
  • Вопрос задан 1 год назад

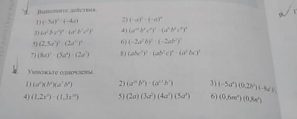
АИЧЕСКИЕ ВЫ Выполните действия. 1) (-5a) . (-4a) 3) (a² b c3)º . (a' b c²) 5) (2,5a7) . (2a") 7) (8a)3 . (5a) . (2a') Умножьте одночлены. 1) (aº)(bº)(a7b8) 4) (1,2x) (1,3x¹0) 2) (-a) . (-a) 4) (alo bº cs)s . (a b8c8)4 6) (-2a² b)² . (-2ab2) 8) (abc3)3 . (ab³ c)+ . (a bc)s 2) (q' b") - (q'3 b) 3) (-5a²) (0,2b²) (-8a'b 5) (2а) (3а²) (4a) (5at) 6) (0,6m²) (0,8n*) 9​

Приложения:

Ответы

Ответ дал: botovbot302
11

Ответ:

нужно все это умнржить нахер

Объяснение:


ivanvasilevskij00: ответ нужен срочно
gulnoza8584202: 1) (-5a) с степенью 3 *(-4а)=-5*-4*а с степенью 3*а =20ас степенью 4
edik1727: ну дайте норм ответы пж
Temurshox: Дайте нормальный ответ
ajsa39884: Даите нормальный ответ
Вас заинтересует