ДОПОМОЖІТЬ СКОРІШЕ БУДЬ ЛАСКА❤️❤️❤️❤️:
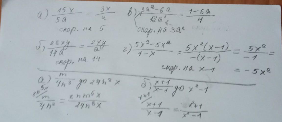
1.Скоротіть дроби:
а)15х/5a;
b)28xy/14a;
в)3a²-6a/12a²
г)5х³-5х²/1-х.
2.Звести дроби до нового знаменника:
а)m/4n³ до 24n8x;
b)x+1/x-1 до х²-1.
Приложения:

Ответы
Ответ дал:
1
Ответ:
нзнаю чи останнє правильно
Приложения:

nazarkisikxd:
ДУЖЕ ДЯКУЮ,БУДЬ ЛАСКА.МОЖЕТЕ ДОПОМОГТИ З ЩЕ ОДНИМ ЗАВДАННЯМ,У МЕНЕ В ПРОФІЛІ С ЦІЕЇ ТЕМИ ДУЖЕ ПРОШУ БУДЬ ЛАСКАА
Вас заинтересует
1 год назад
1 год назад
2 года назад
2 года назад
8 лет назад