помогите сделать полный синтаксический разбор 2 предложений:
1. Ветер еще не шумел потому что было очень рано и ветер только-только начал рождаться вдали.
2. Я хочу чтобы слышала ты как тоскует мой голос живой.
Ответы
Ответ дал:
10
1. Повествовательное
2. Невосклицательное
3. Сложное
4. Состоит из трех частей,две главные,одна придаточная.
5. Сложноподчиненное предложение
6. Полное
7. Двусоставное.
8. Распространенное
9. Ничем не осложнено.
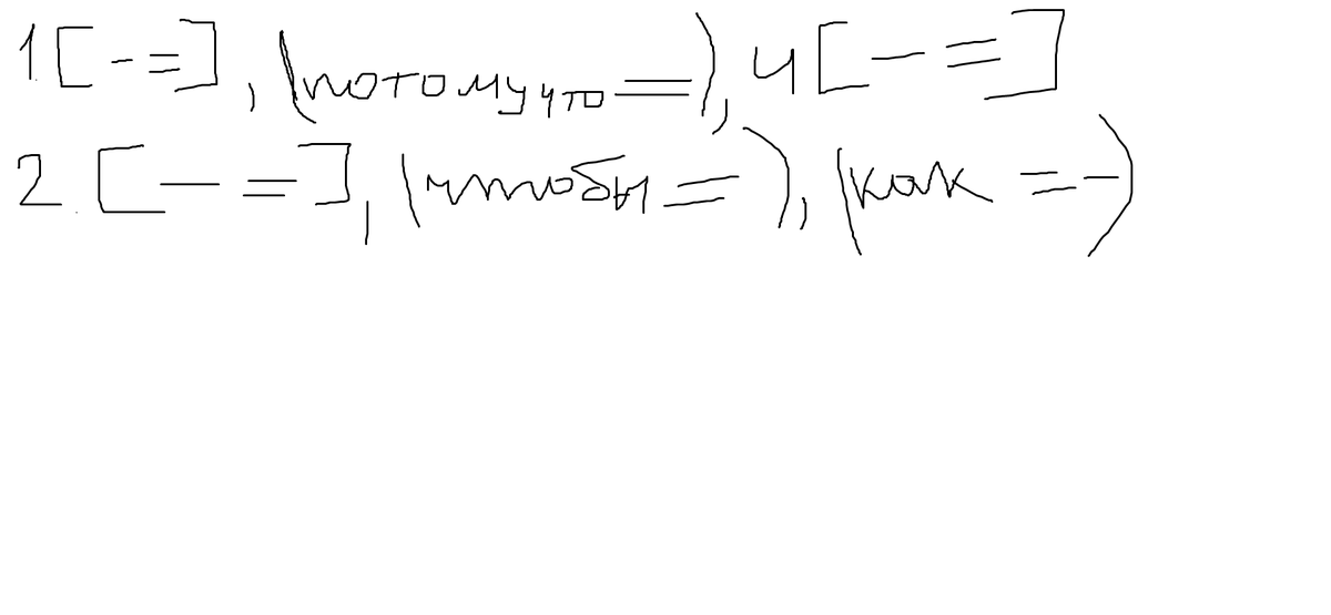
Ветер не шумел,потому что было очень рано ,и ветер только-только начал рождаться вдали.
Второе предложение
Я хочу,чтобы слышала ты,как тоскует мой голос живой
1. Повествовательное
2. Невосклицательное
3. Сложноподчиненное,однородное
4. Состоит из трех неравноправных частей
5. Распространенное
6. Полное
7. Двусоставное
8. Ничем не осложнено
Схемы-
2. Невосклицательное
3. Сложное
4. Состоит из трех частей,две главные,одна придаточная.
5. Сложноподчиненное предложение
6. Полное
7. Двусоставное.
8. Распространенное
9. Ничем не осложнено.
Ветер не шумел,потому что было очень рано ,и ветер только-только начал рождаться вдали.
Второе предложение
Я хочу,чтобы слышала ты,как тоскует мой голос живой
1. Повествовательное
2. Невосклицательное
3. Сложноподчиненное,однородное
4. Состоит из трех неравноправных частей
5. Распространенное
6. Полное
7. Двусоставное
8. Ничем не осложнено
Схемы-
Приложения:

Kisaras:
а можно еще : Хотя он смотрел на часы он был так растревожен и занят своими мыслями что видел только стрелки на циферблате.
1. Повествовательное
2. Невосклицательное
3. Сложноподчиненное,неоднородное
4. Полное
5. Распространенное
6. Состоит из трех частей-где две части сложноподчиненные,одна главная.
7. Двусоставное.
Нужна схема-напиши мне в личку,не могу кинуть тут
Вас заинтересует
2 года назад
2 года назад
2 года назад
2 года назад
7 лет назад
7 лет назад
9 лет назад
9 лет назад