• Предмет: Алгебра
  • Автор: miaheina
  • Вопрос задан 1 год назад

Можете допомогти? Дуже треба!
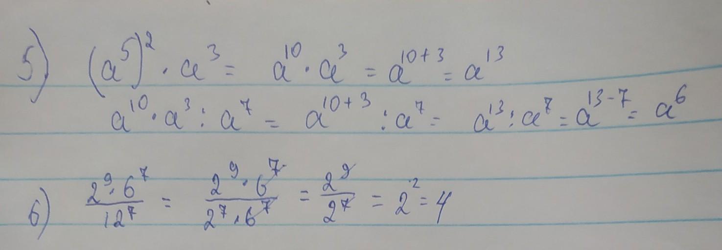
Спростіть вираз це 5 і Обчисліть 6

Приложения:

Ответы

Ответ дал: nagaevskairina
1

Сподіваюсь, що допомогла

Приложения:

miaheina: Дуже дякую)
Ответ дал: parus77
1

Ответ:

Объяснение:

формулы и решение внизу

Приложения:
Вас заинтересует