Ответы
Ответ дал:
1
Ответ:
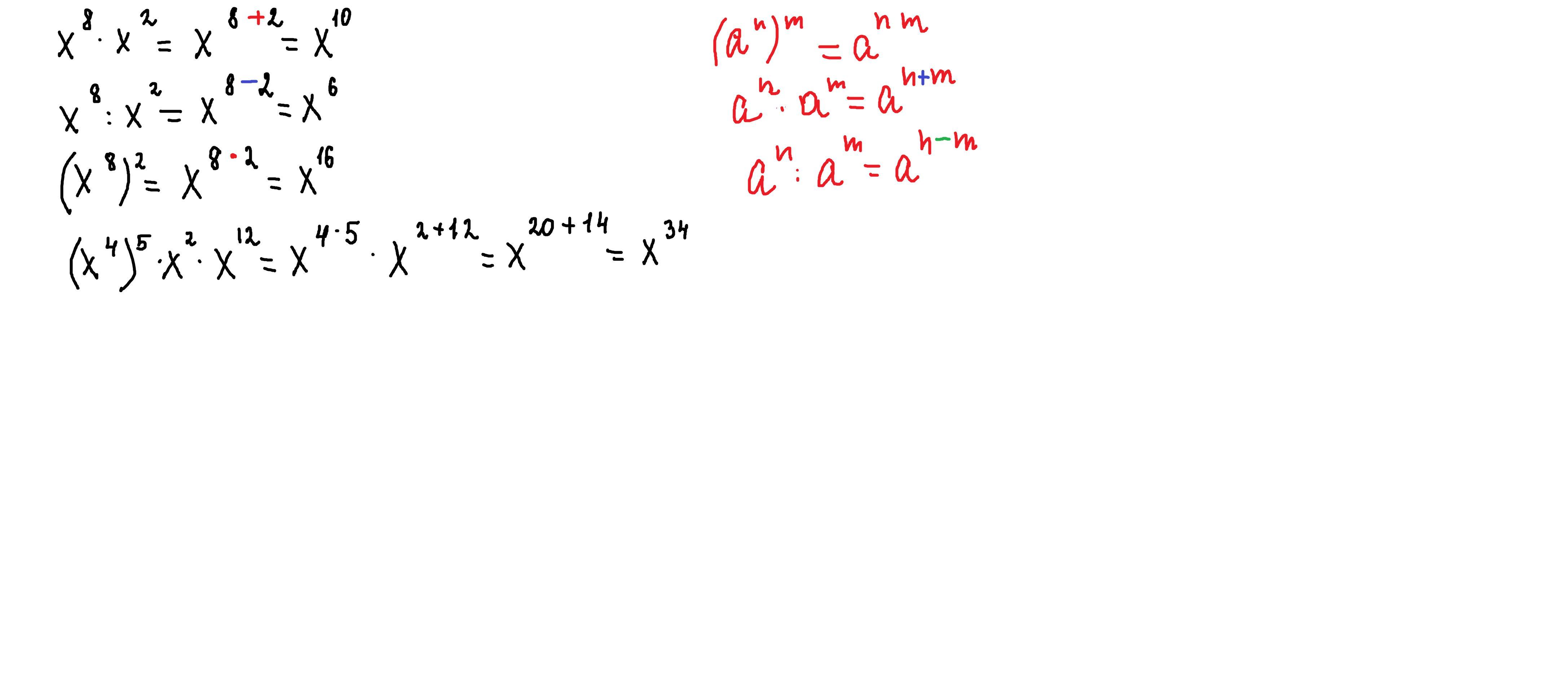
x⁸ * x²:
Щоб перемножити дві змінні з однаковим показником, додайте їхні показники.
x⁸ * x² = x^(8+2) = x¹⁰.
x⁸ : x²:
Щоб поділити дві змінні з однаковими показниками, відніміть один показник від іншого.
x⁸ : x² = x^(8-2) = x⁶.
(x⁸)²:
Щоб підняти ступінь числа у квадрат, помножте показник ступеня на 2.
(x⁸)² = x^(8*2) = x¹⁶.
(x⁴)⁵ * x² * x¹²:
Спершу піднесіть x⁴ до ступеня 5, а потім перемножте всі змінні з однаковими показниками.
(x⁴)⁵ * x² * x¹² = x^(4*5) * x² * x¹² = x²⁰ * x² * x¹².
Тепер додайте показники ступенів x:
x²⁰ * x² * x¹² = x^(20+2+12) = x³⁴.
Повторная генерация
Объяснение:
Ответ дал:
1
Ответ:
Объяснение:
решение с формулами внизу
Приложения:

Вас заинтересует
1 год назад
1 год назад
2 года назад
2 года назад
8 лет назад
8 лет назад