• Предмет: Алгебра
  • Автор: isaevairka737
  • Вопрос задан 1 год назад

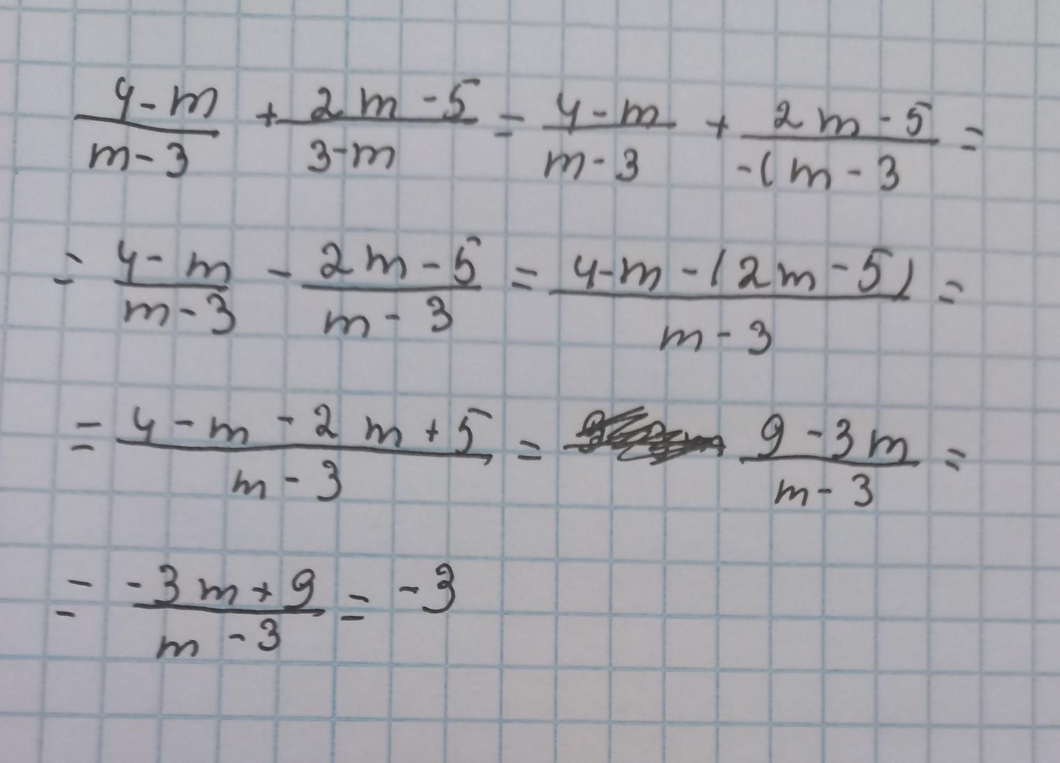
Виконайте додавання:4-м/м-3+2м-5/3-м пожалуста с более откритим ответом и побистрее до 00:00 пожалуста

Ответы

Ответ дал: sgv99
3

там вродіби так має бути

Приложения:

iva54: Там в умові в другому дробі в знаменнику 3 - m має бути.
sgv99: зараз перероблю
Вас заинтересует