• Предмет: Математика
  • Автор: annasumyfk
  • Вопрос задан 1 год назад

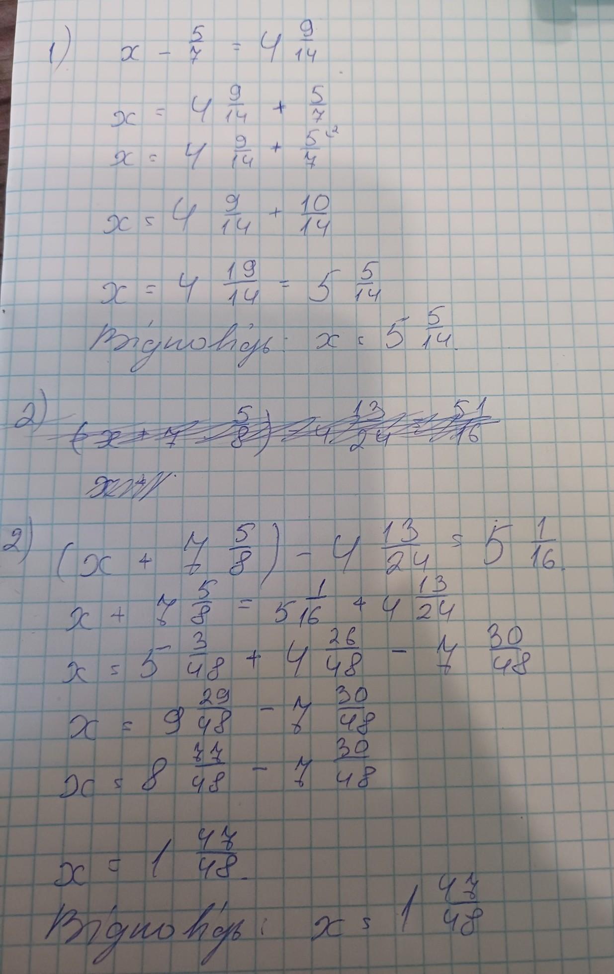
х-5/7 =4 9/14; (х+7 5/8)- 4 13/24= 5 1/16 срочно ​

Ответы

Ответ дал: chornadiana198
0

Ответ:

відповідь зображено на фото

Приложения:
Вас заинтересует