• Предмет: Алгебра
  • Автор: vikacychkava394
  • Вопрос задан 1 год назад

что писать в степень многочлена, а что в коэффициент ??​

Приложения:

Ответы

Ответ дал: NNNLLL54
1

Ответ:

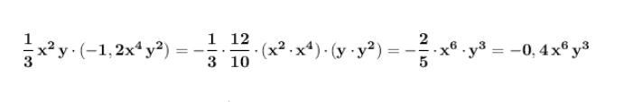
\\\bf \dfrac{1}{3}\, x^2\, y\cdot (-1,2x^4\, y^2)=-\dfrac{1}{3}\cdot \dfrac{12}{10}\cdot (x^2\cdot x^4)\cdot (y\cdot y^2)=-\dfrac{2}{5} \cdot x^6\cdot y^3=-0,4\, x^6\, y^3  

Коэффициент равен   k = - 0,4  .

Степень одночлена равна сумме показателей степеней переменных, входящих в него , то есть   n = 6+3 = 9  .

Приложения:

alice12324: Допоможіть вирішити 3 задачі, задачі на фото. До 5 і 6 задачі малюнки намалюйте. Заздалегідь дякую❤️​
https://znanija.com/task/53758171?utm_source=android&utm_medium=share&utm_campaign=question
alice12324: помоги с этим заданием
Вас заинтересует