• Предмет: Алгебра
  • Автор: kovalv49
  • Вопрос задан 1 год назад

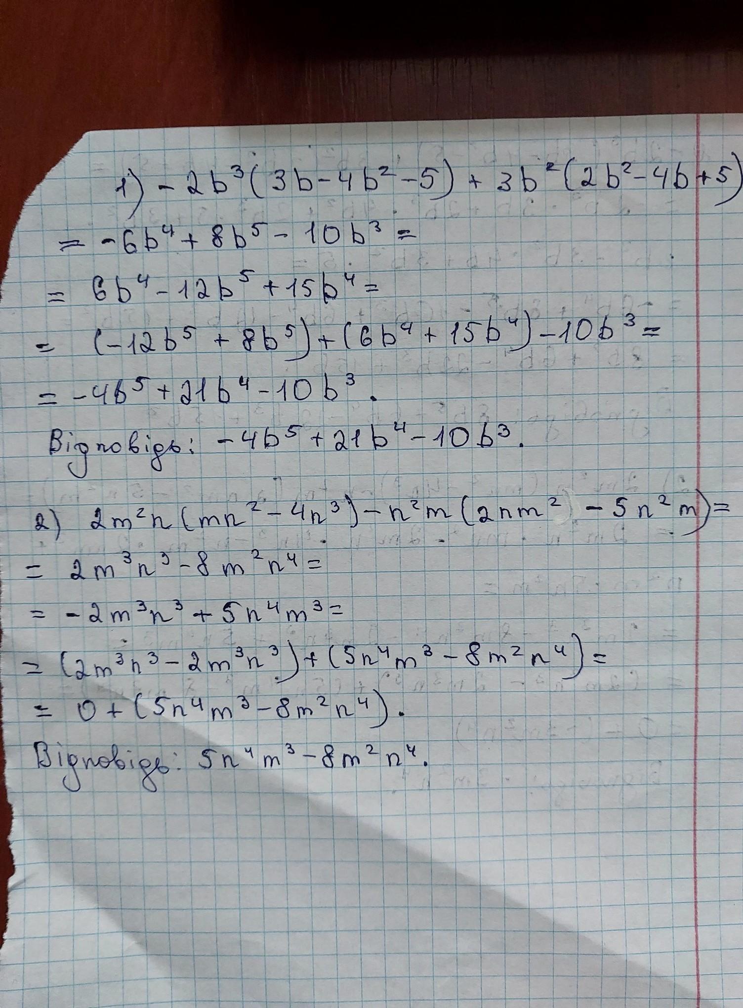
ПОМОГОИТЕ!!!!!!!!!! 70 балов

Приложения:

Аноним: скину розв’язок в інст @mathematic_89

Ответы

Ответ дал: gricauktatana88
1

ну вроде так

примеры конечно сложноватые(((

Приложения:

kovalv49: Спасибо
Вас заинтересует