• Предмет: Математика
  • Автор: Ilia6Bi
  • Вопрос задан 2 года назад

номер 406 чет срочно даю 45 б

Приложения:

Ответы

Ответ дал: jekadva
1

Ответ:

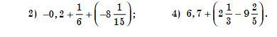
2)-0,2+\frac{1}{6} +(-8\frac{1}{15})= -\frac{2}{10} +\frac{1}{6} -8\frac{1}{15} =-\frac{12}{60} +\frac{10}{60} -8\frac{4}{60} =-(8\frac{4}{60} +\frac{12}{60}-\frac{10}{60} )=-8\frac{6}{60} =-8\frac{1}{10} \\ \\ 4)6,7+(2\frac{1}{3} -9\frac{2}{5} ) = 6\frac{7}{10} +2\frac{1}{3} -9\frac{2}{5} =6\frac{21}{30} +2\frac{10}{30}-9\frac{12}{30} = 8\frac{31}{30}-9\frac{12}{30} = 9\frac{1}{30} -9\frac{12}{30}=-(9\frac{12}{30}-9\frac{1}{30} )=-\frac{11}{30}

Пошаговое объяснение:

Вас заинтересует