• Предмет: Математика
  • Автор: gigimon2288
  • Вопрос задан 2 года назад

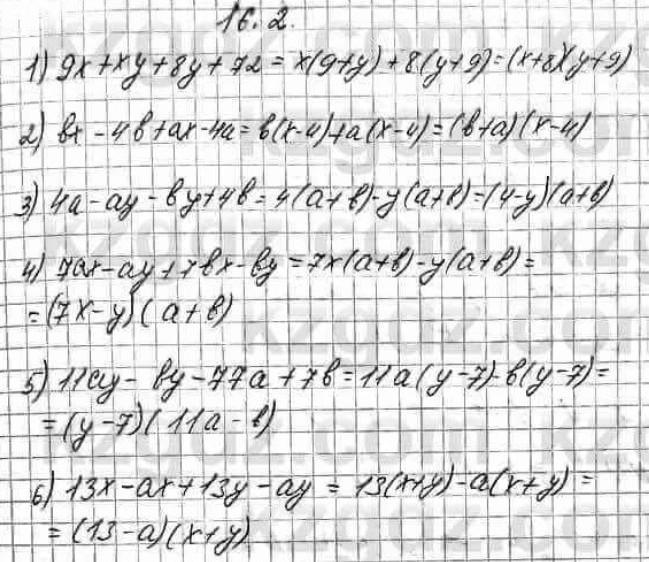
16.2. 1) 9x + xy + 8y + 72;
3) 4a-ay-by + 4b;
5) 11ay-by-77a+7b;
2) bx - 4b + ax - 4a;
4) 7ax-ay+7bx-by;
6) 13x-ax+ 13y - ay.
Разложите на множители способом группировки многочлены

Ответы

Ответ дал: kopylovakira66
20

на фото все ответы.Подробно

Приложения:

straykids1203: спасибочки большое
larik3754: как называется приложение которое на фото ?
holidaybrono: г.д.з
nastiks12: Это не правильно!
belovaulana750: рм
Вас заинтересует