• Предмет: Математика
  • Автор: msupersell2011
  • Вопрос задан 1 год назад

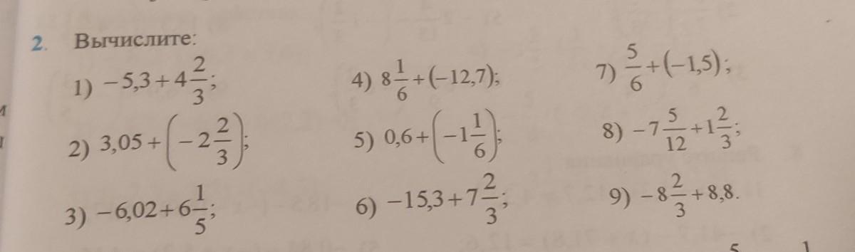
ответ дайте срочно жду​

Приложения:

Ответы

Ответ дал: LorenzoR
1

Ответ:

1)-19/30

2)23/60

3)9/50

4)-68/15

5)-17/30

6)-229/30

7)-2/3

8)-23/4

9)2/15

Ответ дал: Abisiana
1

Відповідь:

1)-19/30

2)23/60

3)9/50

4)-68/15

5)-17/30

6)-229/30

Покрокове пояснення:

Вас заинтересует