Ответы
Ответ дал:
1
Ответ:
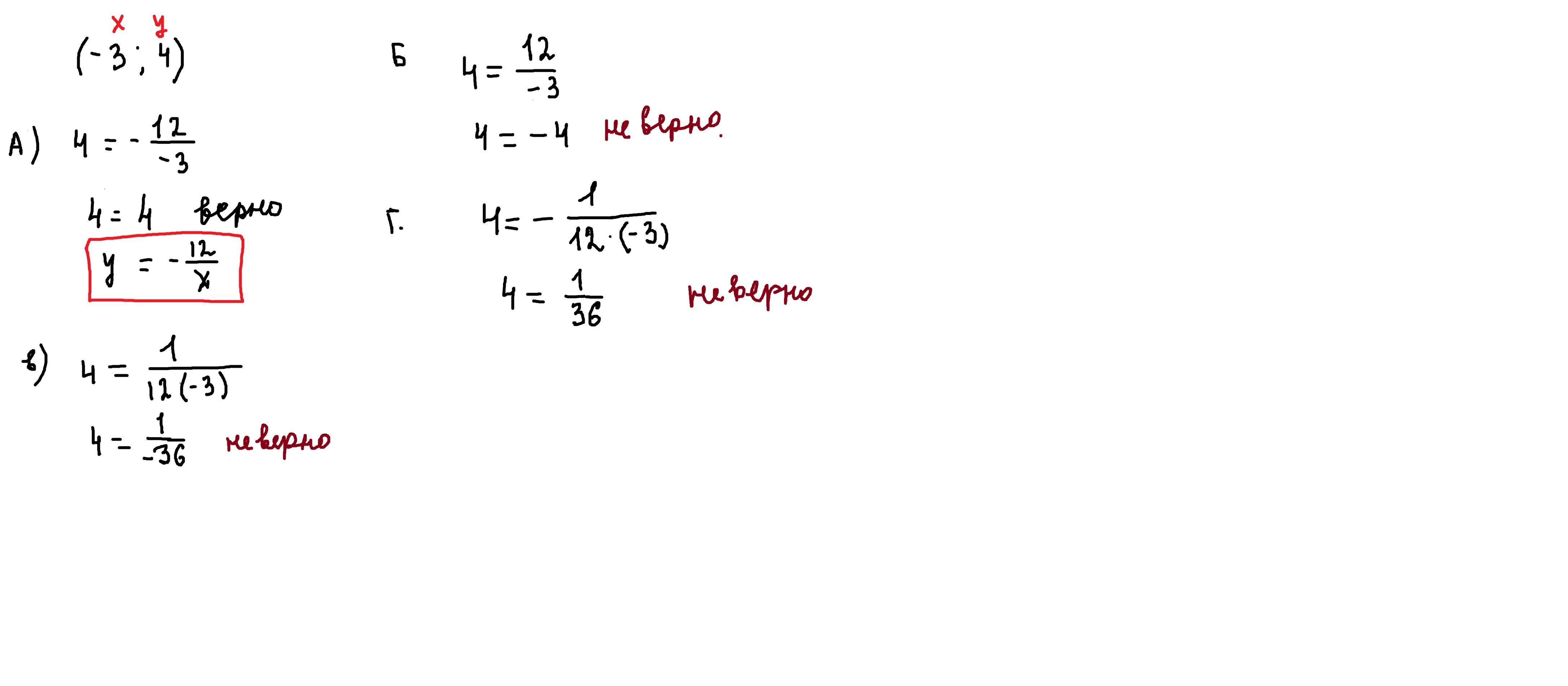
А у= -12/х формула обратной пропорциональности
Объяснение:
просто надо в каждую формулу вместо Х и У подставить значения,если получится верное равенство,значит это и будем формула обратной пропорциональности
Приложения:

Вас заинтересует
1 год назад
1 год назад
1 год назад
1 год назад
2 года назад
2 года назад
8 лет назад