• Предмет: Математика
  • Автор: mimi00
  • Вопрос задан 10 лет назад

Требуется найти интеграл)заранее спасибо

Приложения:

Ответы

Ответ дал: Alexаndr
0
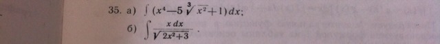
 intlimits {x^4-5sqrt[3]{x^2}+1}  dx
Интеграл суммы есть сумма интегралов
 intlimits {x^4-5sqrt[3]{x^2}+1}  dx= intlimits {x^4}  dx-5 intlimits {x^frac{2}{3}}  dx+ intlimits {}  dx=frac{x^5}{5}-5*frac{3x^frac{5}{3}}{5}+\+x=frac{x^5}{5}-3sqrt[3]{x^5}+x+Const

 intlimits {frac{x dx}{sqrt{2x^2+3}}}= frac{1}{2}intlimits {frac{ dx^2}{sqrt{2x^2+3}}}=frac{1}{4}intlimits {frac{ d(2x^2+3)}{sqrt{2x^2+3}}}= frac{1}{4}intlimits {(2x^2+3)^frac{1}{2}} d(2x^2+3)=\\=frac{1}{2}*frac{(2x^2+3)^frac{3}{2}}{3}+Const

Вас заинтересует