• Предмет: Алгебра
  • Автор: zhaksylykerasyl08
  • Вопрос задан 1 год назад

алгебра срочно плзззз​

Приложения:

Ответы

Ответ дал: Sartoshka
1

Ответ:

ответ ниже

Объяснение:

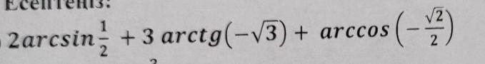
2arcsin1/2 + 3arctg(−√3) + arccos(−√2/2) = ?

Для решения уравнения нам нужно знать значения обратных тригонометрических функций.

arcsin 1/2 = π/6 arctg (-√3) = -π/3 arccos (-√2/2) = π - arccos √2/2 = π-π/4 = 3π/4.

Теперь подставим значения в уравнение:

2 * π/6 + 3 * (-π/3) + 3π/4 = π/3 - π + 3π/4 = -10π/12 + 9π/12 = -π/12.

Ответ: -π/12.

Вас заинтересует