• Предмет: Алгебра
  • Автор: Аноним
  • Вопрос задан 10 лет назад

помогите пож с корнями

Приложения:

Ответы

Ответ дал: volkodav575
0
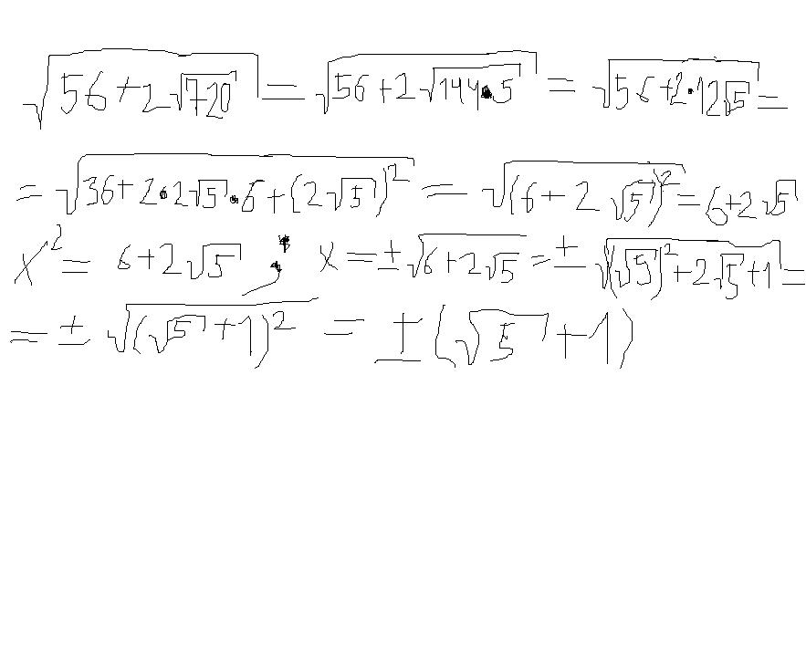
Решение на рисунке, надеюсь разборчиво.
Приложения:
Ответ дал: volkodav575
0
а 20 - это два корня из пяти в квадрате)
Ответ дал: volkodav575
0
Если непонятно, то могу более подробно расписать решение)
Ответ дал: Аноним
0
как сложно.Спасибо большое за помощь вы меня очень выручили:)
Ответ дал: Аноним
0
нет нет:) все прекрасно:)
Ответ дал: volkodav575
0
;)
Вас заинтересует