СРОЧНО НАДО!!!!!!!
ДАЮ СТО БАЛОВ!!!!
Приложения:

Аноним:
скину розв‘язок в інст @mathematic_89
Ответы
Ответ дал:
1
Ответ:
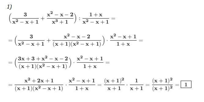
1) Доказать, что выражение не зависит от переменной х . Применяем формулы сокращённого умножения .
Получили выражение , которое не зависит от переменной . Выражение равно константе .
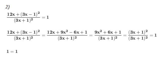
2) Доказать тождество . Применяем формулы сокращённого умножения .
Тождество доказано .
Приложения:



Вас заинтересует
1 год назад
1 год назад
1 год назад
2 года назад
2 года назад
8 лет назад