• Предмет: Физика
  • Автор: sashal070910
  • Вопрос задан 1 год назад

Вариант 2


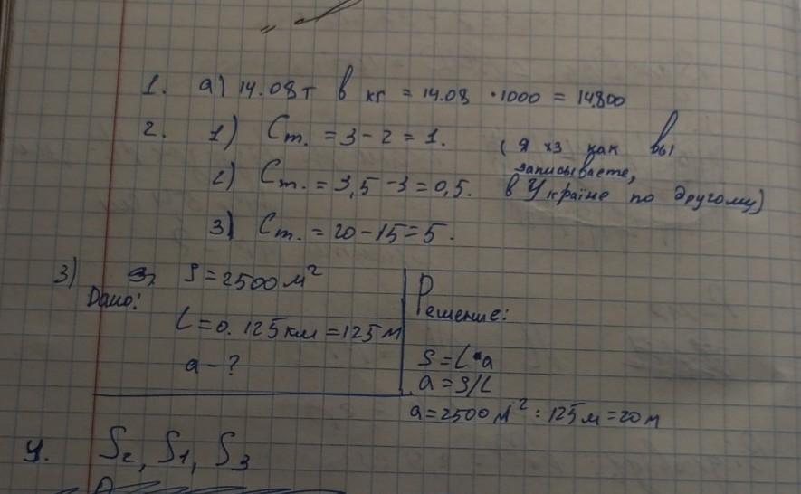
1. Выразите: а)14.08т в кг


6)1200с в ч



3. Плавательный бассейн в форме

прямоугольника имеет площадь дна S-2500 м²

Длина бассейна 1=0.125км. Определите ширину бассейна. 4. Расположите значения площадей в порядке убывания 5=18см²


5. В мензурку с ценой деления 5 мл опустили брусок размером Тем 3см * 4 см. На сколько делений поднимется вода?




Ришете пж срочно!!!

Приложения:

Ответы

Ответ дал: goncarenkoliza01
1

во 2 я хз как вы записываете(мы в Украине по другому пишем) и 5 я хз как делать

Приложения:

sashal070910: Спс
Вас заинтересует