• Предмет: Математика
  • Автор: olegkusnir19
  • Вопрос задан 10 лет назад

решить на множестве С уравнение    Срочно!! прошу кто сможет хоть как то

Приложения:

Ответы

Ответ дал: nelle987
0
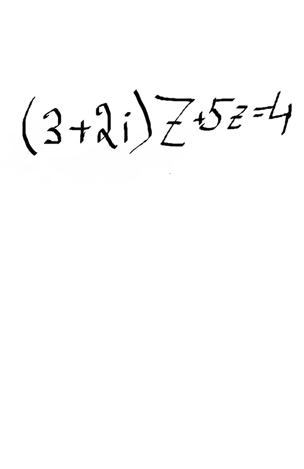
(3+2i)z+5z=4\
(8+2i)z=4\
z=dfrac{4}{8+2i}=dfrac2{4+i}=dfrac{2(4-i)}{(4+i)(4-i)}=dfrac{8-2i}{16+1}=dfrac{8-2i}{17}
Ответ дал: olegkusnir19
0
а куда еще Z ltk&
Ответ дал: olegkusnir19
0
дел??
Ответ дал: nelle987
0
3+5=8
Вас заинтересует