• Предмет: Математика
  • Автор: danilsatalin22
  • Вопрос задан 1 год назад

помогите сделать!!!!!!

Приложения:

Ответы

Ответ дал: lytvynmira
0

Ответ:

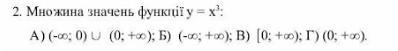
Відповідь Б

Пошаговое объяснение:

Вас заинтересует