• Предмет: Алгебра
  • Автор: zefirk79
  • Вопрос задан 2 года назад

Виконати дії ( з повним рішенням)!

Приложения:

Аноним: скину розв‘язок в інст @mathematic_89
dimasprykhodko2332: Знаю тільки другий приклад.
zefirk79: Добре пишіть тоді
zefirk79: Можете відповісти хоча б на 2 приклад
dimasprykhodko2332: Встиг побачити відповідь? Її видалили. Якщо ні, то я продублюю
zefirk79: Так я встигла але не потрібно вже

Ответы

Ответ дал: 7x8
1

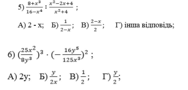
Ответ:

\displaystyle \frac{1}{2-x}

\displaystyle \frac{y}{2}

Объяснение:

\displaystyle \frac{8+x^3}{16-x^4}:\frac{x^2-2x+4}{x^2+4}=\\\\\frac{(x + 2)(x^2 - 2x + 4)}{(4-x^2)(4+x^2)}\cdot \frac{x^2+4}{x^2-2x+4}=\\\\\frac{x + 2}{4-x^2}=\frac{x + 2}{(2-x)(2+x)}=\frac{1}{2-x}

\displaystyle (\frac{25x^2}{8y^3})^3\cdot(-\frac{16y^5}{125x^3})^2=\frac{25^3x^6}{8^3y^9}\cdot\frac{16^2y^{10}}{125^2x^6}=\\\\\frac{25^3}{8^3}\cdot\frac{16^2y}{125^2}=\frac{(5^2)^3}{(2^3)^3}\cdot\frac{(2^4)^2y}{(5^3)^2}=\frac{5^6}{2^9}\cdot\frac{2^8y}{5^6}=\frac{y}{2}


Hgiouy877: Здравствуйте. Помогите пожалуйста очень срочно, если сможете конечно же!
https://znanija.com/task/53777737
dimasprykhodko2332: Прикольно. А мій варіант видалено
zefirk79: Тому що напевно ви невірно вирішили
Вас заинтересует