Ответы
Ответ дал:
1
Ответ:
вот ответ
Пошаговое объяснение:
пж лучший ответ
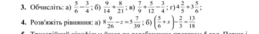
Приложения:

zabutnojvlad:
лучший
Вас заинтересует
1 год назад
1 год назад
1 год назад