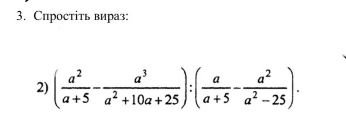
упростите пожалуйста вираз,просьба решить на листке через действия,даю максимум 100 балов,срочно!!
Приложения:

Ответы
Ответ дал:
1
Объяснение:
решение на фотографии
...........
Приложения:

Вас заинтересует
1 год назад
1 год назад
1 год назад
1 год назад
2 года назад
2 года назад
8 лет назад